W związku ze zwiększeniem środków na wypłatę stypendiów w ramach II edycji Projektu „Dolnośląski program pomocy uczniom niepełnosprawnym „Sprawny uczeń” (rok szkolny 2025/2026) informujemy, że Powiat Lubiński przyzna i wypłaci dodatkowe stypendia dla co najmniej 10 osób, które zostały zakwalifikowane do projektu, jednak nie otrzymały dotychczas stypendium z powodu wyczerpania środków na ten cel.
Dodatkowe stypendia zostaną przyznane osobom znajdującym się na liście rezerwowej II edycji projektu, zgodnie z kolejnością wynikającą z miejsca zajmowanego na tej liście, aż do wyczerpania zwiększonej puli środków przeznaczonych na ten cel.
Warunkiem uzyskania stypendium jest spełnianie kryteriów uczestnictwa w projekcie, które są warunkiem uzyskania stypendium tj.:
- bycie osobą z niepełnosprawnościami,
- zamieszkiwanie na terenie województwa dolnośląskiego,
- bycie uczniem szkoły podstawowej albo ponadpodstawowej,
oraz
- zakwalifikowanie się do udziału w projekcie w ramach II edycji projektu.
Poniżej publikujemy listę dodatkowych stypendystów rekomendowanych do uzyskania stypendium w ramach zwiększonej puli środków.
Nasi pracownicy będą wkrótce kontaktować się z kandydatami.
PLIKI DO POBRANIA W FORMACIE PDF:
Dodatkowa lista stypendystów

Data: 12-11-2025
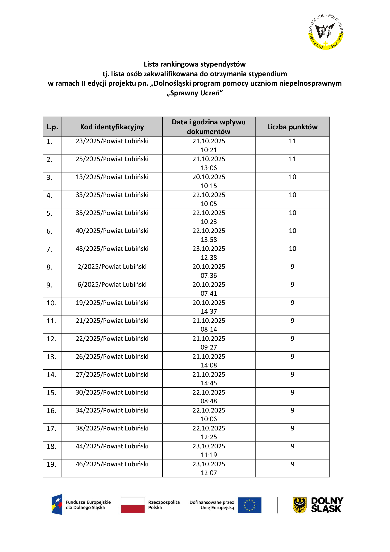
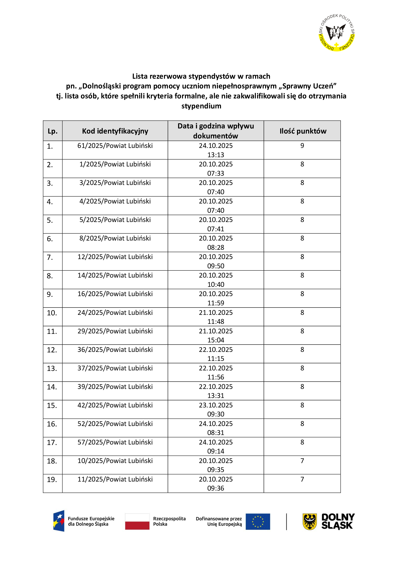
Lista rankingowa uczniów zakwalifikowanych do otrzymania stypendium w ramach projektu pn. „Dolnośląski program pomocy uczniom niepełnosprawnym Sprawny Uczeń”
PLIKI DO POBRANIA W FORMACIE PDF:
Lista rankingowa – Lista rankingowa – Sprawny Uczeń (.pdf)
Lista rezerwowa – Lista rezerwowa – Sprawny Uczeń (.pdf)





Projekt: „Dolnośląski program pomocy uczniom niepełnosprawnym „Sprawny Uczeń”
Projekt jest współfinansowany ze środków Unii Europejskiej w ramach programu Fundusze Europejskie dla Dolego Śląska 2021-2027.
Okres realizacji projektu: 01.05.2024 – 31.08.2026
Wartość całkowita projektu: 8 426 731,43 złotych
Środki europejskie: 5 898 712,00 złotych
Cel projektu:
Celem projektu jest zmiana postrzegania uczniów z niepełnosprawnością przez umożliwienie im realizacji obowiązku nauki/obowiązku szkolonego w sposób jak najbardziej zbliżony do uczniów w pełni sprawnych oraz umożliwienie autonomicznego i odpowiedzialnego uczestniczenia w życiu zawodowym i społecznym.
W ramach projektu planujemy: udzielić łącznie co najmniej 1 568 uczniom z niepełnosprawnością jednorazowych stypendiów w wysokości 3 500,00 zł.
W Powiecie Lubińskim udzielonych zostanie 58 stypendiów. W pierwszej edycji przeprowadzonej w roku szkolnym 2024/2025 udzielimy co najmniej 24 stypendiów, a w drugiej edycji przeprowadzonej w roku szkolnym 2024/2025 udzielimy co najmniej 34 stypendiów.
Na terenie Powiatu Lubińskiego projekt realizuje
Powiatowe Centrum Pomocy Rodzinie w Lubinie
59-300 Lubin, ul. Składowa 3
tel. 76 847 96 91
https://pcpr.powiat-lubin.pl
Wnioski o przyznanie stypendiów w ramach pierwszej edycji projektów będzie można składać w ostatnim kwartale 2024 r., a w ramach drugiej edycji projektu planujemy przeprowadzić nabór wniosków w drugim kwartale 2025 r. Szczegółowe zasady przyznawania stypendiów reguluje Regulamin.
Grupa docelowa:
Stypendia przyznawane w ramach projektu są adresowane do uczniów z niepełnosprawnością uczęszczających do szkół podstawowych i ponadpodstawowych (z wyłączeniem szkół policealnych), zamieszkujących w województwie dolnośląskim.
Przez uczniów z niepełnosprawnością rozumiemy:
- uczniów posiadających ważne orzeczenie o niepełnosprawności lub orzeczenie o stopniu niepełnosprawności wydane przez Powiatowy Zespół ds. Orzekania o Niepełnosprawności, ZUS lub instytucje odwoławcze (zgodnie z ustawą z dnia 27 sierpnia 1997 r. o rehabilitacji zawodowej i społecznej oraz zatrudnianiu osób niepełnosprawnych
lub
- uczniów posiadających orzeczenie o potrzebie kształcenia specjalnego wydane ze względu na dany rodzaj niepełnosprawności
lub
- dzieci i młodzież posiadające orzeczenia o potrzebie zajęć rewalidacyjno-wychowawczych wydawane ze względu na niepełnosprawność intelektualną w stopniu głębokim. Orzeczenia uczniów, dzieci lub młodzieży są wydawane przez zespół orzekający działający w publicznej poradni psychologiczno-pedagogicznej, w tym poradni specjalistycznej.
Stypendia mają zostać przeznaczone na cele związane z edukacją, czyli na:
- przedmioty ułatwiające/umożliwiające naukę;
- przybory szkolne, materiały i akcesoria piśmiennicze i biurowe;
- całkowite lub częściowe pokrycie kosztów zajęć edukacyjnych, zajęć mających na celu podniesienie sprawności fizycznej lub psychicznej;
- całkowite lub częściowe pokrycie kosztów turnusu rehabilitacyjnego;
- kursy doszkalające, językowe (w przypadku kursów organizowanych poza miejscem zamieszkania, finansowaniu mogą podlegać koszty dojazdu, zakwaterowania, wyżywienia);
- wyjazdy organizowane w ramach zajęć szkolnych;
- opłaty za naukę;
- zakwaterowanie (w sytuacji, gdy uczeń pobiera naukę poza miejscem stałego zamieszkania, w tym również wyżywienie);
- opłaty za usługi asystencji.
Rezultaty:
- Wsparciem obejmiemy 1 568 uczniów z niepełnosprawnościami, w tym 58 osób z Powiatu Lubińskiego.
- Po zakończeniu udziału w projekcie 1 035 uczniów nabędzie nowe kwalifikacje
Dokumenty do pobrania:
- Regulamin przyznawania stypendiów
- ETR Regulamin stypendiow
- Wniosek o przyznanie stypendium wersja czarno-biała
- Wniosek o przyznanie stypendium – wersja pełnokolorowa
- ETR Wniosek o stypendium Sprawny Uczeń
- Wzór karty oceny wniosku
- ETR Karta oceny wniosku
- Klauzula informacyjna – IZ i koordynator programu EFS+
- Klauzula informacyjna Sprawny Uczeń – DOPS
- Formularz zgłaszania specjalnych potrzeb wersja pelnokolorowa
- Formularz zglaszania specjalnych potrzeb – wsersja czarno-biała
#FunduszeUE, #FunduszeEuropejskie
Dolnośląski Ośrodek Polityki Społecznej informuje o możliwości zgłaszania do Instytucji Zarządzającej podejrzenia o niezgodności Projektu lub działań Beneficjenta z Konwencją o prawach osób niepełnosprawnych sporządzoną w Nowym Jorku dnia 13 grudnia 2006 r. (Dz. U. z 2012 r. poz. 1169, z późn. zm.), zwanej dalej „KPON” oraz Kartą Praw Podstawowych Unii Europejskiej z dnia z dnia 7 czerwca 2016 r. Sygnały, zgłoszenia lub skargi dotyczące wystąpienia niezgodności projektów FEDS z postanowieniami KPON mogą przekazywać osoby fizyczne (uczestnicy projektów lub ich pełnomocnicy i przedstawiciele), instytucje uczestniczące we wdrażaniu funduszy Unii Europejskiej, strona społeczna (stowarzyszenia, fundacje), za pomocą (w każdym poniższym przypadku uznaje się zgłoszenie za przekazane w formie pisemnej):
• poczty tradycyjnej – w formie listownej na adres Instytucji Zarządzającej: Marszałek Województwa Dolnośląskiego z siedzibą we Wrocławiu, ul. Wybrzeże J. Słowackiego 12-14, 50-411 Wrocław;
• skrzynki do e-doręczeń Urzędu Marszałkowskiego Województwa Dolnośląskiego
Partnerzy projektu
Projekt „Dolnośląski program pomocy uczniom niepełnosprawnym „Sprawny Uczeń” realizowany jest w partnerstwie, którego liderem jest Województwo Dolnośląskie – Dolnośląski Ośrodek Polityki Społecznej. Partnerami projektu są wszystkie powiaty województwa dolnośląskiego oraz miasta na prawach powiatu: Jelenia Góra, Legnica, Wałbrzych oraz Wrocław.
Partner nr 1 – Powiat Bolesławiecki
Realizatorem projektu ze strony Powiatu Bolesławieckiego jest Wydział Edukacji, Kultury i Sportu Starostwa Powiatowego w Bolesławcu, ul. Armii Krajowej 12, 59-700 Bolesławiec
tel. +48 75 732 32 58
e-mail: biuro@powiatboleslawiecki.pl
Partner nr 2 – Powiat Dzierżoniowski
Realizatorem projektu ze strony Powiatu Dzierżoniowskiego jest Powiatowe Centrum Pomocy Rodzinie i Ochrony Zdrowia w Dzierżoniowie, ul. Piastowska 1, 58-200 Dzierżoniów.
tel. 74 833 98 95
e-mail: m.jachowicz@pcprdzierzoniow.pl
m.rajca-brzuszkiewicz@pcprdzierzoniow.pl
Partner nr 3 – Powiat Głogowski
Realizatorem projektu ze strony Powiatu Głogowskiego jest Powiatowe Centrum Pomocy Rodzinie w Głogowie,
ul. Słowiańska 13, 67-200 Głogów
tel. 76 834 10 03
e-mail: pcpr_glogow@op.pl
Partner nr 4 – Powiat Górowski
Realizatorem projektu ze strony Powiatu Górowskiego jest Powiatowe Centrum Pomocy Rodzinie w Górze,
ul. Armii Polskiej 8, 56-200 Góra
tel. 65 65 00 999
e-mail: sekretariat@pcprgora.pl
Partner nr 5 – Powiat Jaworski
Realizatorem projektu ze strony Powiatu Jaworskiego jest Powiatowe Centrum Pomocy Rodzinie w Jaworze,
ul. Starojaworska 7, 59-400 Jawor
tel. 76 871 14 11
e-mail: kontakt@pcpr-jawor.pl, m.machura@pcpr-jawor.pl, i.aniolek@pcpr-jawor.pl
Partner nr 6 – Powiat Kamiennogórski
Realizatorem projektu ze strony Powiatu Kamiennogórskiego jest Powiatowe Centrum Pomocy Rodzinie
w Kamiennej Górze, ul. H. Sienkiewicza 6A, 58-400 Kamienna Góra
tel. 75 6450231
e-mail: pcpr@kamienna-gora.pl, martyna.oglaza@kamienna-gora.pl
Partner nr 7 – Powiat Karkonoski
Realizatorem projektu ze strony Powiatu Karkonoskiego jest: Powiatowe Centrum Pomocy Rodzinie w Jeleniej Górze, ul. Podchorążych 15, 58-508 Jelenia Góra
tel. 75 64 73 277
e-mail: pcpr@pcpr.jgora.pl; a.glazewska@pcpr.jgora.pl
Partner nr 8 – Powiat Kłodzki
Realizatorem projektu ze strony Powiatu Kłodzkiego jest Powiatowe Centrum Pomocy Rodzinie w Kłodzku,
ul. Kościuszki 2, 57-300 Kłodzko;
tel. 74 865 81 79
e-mail: pcpr@pcpr.klodzko.pl, a.skurzewska@pcpr.klodzko.pl;
Partner nr 9 – Powiat Legnicki
Realizatorem projektu ze strony Powiatu Legnickiego jest Powiatowe Centrum Pomocy Rodzinie w Legnicy,
Plac Słowiański 1, 59-220 Legnica
tel. 76 724 34 65
e-mail: pcpr@powiat-legnicki.eu, maria.kaczmarek@powiat-legnicki.eu
Partner nr 10 – Powiat Lubański
Realizatorem projektu ze strony Powiatu Lubańskiego jest Powiatowe Centrum Pomocy Rodzinie w Lubaniu,
ul. Przemysłowa 4, 59-800 Lubań.
tel. 75 646 11 70
e-mail: sekretariat@pcprluban.pl, k.wojcik@pcprluban.pl
Partner nr 11 – Powiat Lubiński:
Realizatorem projektu ze strony Powiatu Lubińskiego jest: Powiatowe Centrum Pomocy Rodzinie w Lubinie,
ul. Składowa 3, 59-300 Lubin.
tel. 76 847 96 91
e-mail: pcpr@powiat-lubin.pl, m.szkarupska@pcpr.powiat-lubin.pl
Partner nr 12 – Powiat Lwówecki
Realizatorem projektu ze strony Powiatu Lwóweckiego jest Powiatowe Centrum Pomocy Rodzinie w Lwówku Śląskim, ul. Szpitalna 4, 59-600 Lwówek Śląski.
tel. 75 782 56 17
e-mail: pcpr@powiatlwowecki.pl
https://pcpr.powiatlwowecki.pl/
Partner nr 13 – Powiat Milicki
Realizatorem projektu ze strony Powiatu Milickiego jest Powiatowe Centrum Pomocy Rodzinie w Miliczu,
ul. Trzebnicka 4b, 56-300 Milicz.
tel. 71 38 41 384
e-mail: pcprmilicz@wp.pl
Partner nr 14 – Powiat Oleśnicki
Realizatorem projektu ze strony Powiatu Oleśnickiego: Powiatowe Centrum Pomocy Rodzinie w Oleśnicy,
ul. Juliusza Słowackiego 10, 56-400 Oleśnica
tel. 71 314 01 74
e-mail: sekretariat@pcpr.olesnica.pl; niepelnosprawni@pcpr.olesnica.pl;
Partner nr 15 – Powiat Oławski
Realizatorem projektu ze strony Powiatu Oławskiego jest Powiatowe Centrum Pomocy Rodzinie w Oławie,
ul. Kutrowskiego 31A, 55-200 Oława.
tel. 71 303 62 95
e-mail: sekretariat@pcpr-olawa.pl
Partner nr 16 – Powiat Polkowicki:
Realizatorem projektu ze strony Powiatu Polkowickiego jest Powiatowe Centrum Pomocy Rodzinie w Polkowicach, św. Sebastiana 1A, 59-100 Polkowice.
tel. 76 729 92 33
e-mail: pcpr@pcpr.polkowice.pl
Partner nr 17 – Powiat Strzeliński:
Realizatorem projektu ze strony Powiatu Strzelińskiego jest Powiatowe Centrum Pomocy Rodzinie w Strzelinie,
ul. Kamienna 10, 57-100 Strzelin.
tel. 71 392 37 36
e-mail: sekretariat@pcpr.powiatstrzelinski.pl
https://pcpr.powiatstrzelinski.pl/
Partner nr 18 – Powiat Średzki:
Realizatorem projektu ze strony Powiatu Średzkiego jest Powiatowe Centrum Pomocy Rodzinie w Środzie Śląskiej, ul. Wrocławska 2, 55-300 Środa Śląska.
tel. 71 396 89 62
e-mail: pcpr@powiat-sredzki.pl
https://powiat-sredzki.pl/pcpr/
Partner nr 19 – Powiat Świdnicki:
Realizatorem projektu ze strony Powiatu Świdnickiego jest Powiatowe Centrum Pomocy Rodzinie,
ul. Wałbrzyska 15, 58-100 Świdnica.
tel. 74 851 50 10
e-mail: katarzyna.schneider@pcpr.swidnica.pl
beata.galewska@pcpr.swidnica.pl
Partner nr 20 – Powiat Trzebnicki:
Realizatorem projektu ze strony Powiatu Trzebnickiego jest Powiatowe Centrum Pomocy Rodzinie w Trzebnicy,
ul. Tadeusza Kościuszki 10, 55-100 Trzebnica.
tel. 71 387 05 96
e-mail: e.kowal@pcpr.trzebnica.pl; a.laczka@pcpr.trzebnica.pl
Partner nr 21 – Powiat Wałbrzyski:
Realizatorem projektu ze strony Powiatu Wałbrzyskiego jest Powiatowe Centrum Pomocy Rodzinie w Wałbrzychu, al. Wyzwolenia 20-24, 58-300 Wałbrzych.
tel. 74 666 63 00
e-mail: sekretariat@pcpr.walbrzych.pl, a.brodka@pcpr.walbrzych.pl
Partner nr 22 – Powiat Wołowski:
Realizatorem projektu ze strony Powiatu Wołowskiego jest Powiatowe Centrum Pomocy Rodzinie w Wołowie;
ul. Inwalidów Wojennych 24, 56-100 Wołów.
tel. 71 389 53 00
e-mail: malgorzata.tkaczyk@pcprwolow.pl; anna.wojtas@pcprwolow.pl
Partner nr 23 – Powiat Wrocławski:
Realizatorem projektu ze strony Powiatu Wrocławskiego jest Powiatowe Centrum Pomocy Rodzinie we Wrocławiu, ul. Tadeusza Kościuszki 131, 50-440 Wrocław.
tel. 71 72 21 860
e-mail: pcpr@pcpr.wroclaw.pl
Partner nr 24 – Powiat Ząbkowicki:
Realizatorem projektu ze strony Powiatu Ząbkowickiego jest Powiatowe Centrum Pomocy Rodzinie w Ząbkowicach Śląskich ul. Bolesława Prusa 5, 57-200 Ząbkowice Śląskie.
tel. 74 815 60 00
e-mail: sekretariat@pcpr-zabkowiceslaskie.pl
Partner nr 25 – Powiat Zgorzelecki:
Realizatorem projektu ze strony Powiatu Zgorzeleckiego jest Powiatowe Centrum Pomocy Rodzinie w Zgorzelcu, ul. Bohaterów II AWP 8, 59-900 Zgorzelec.
tel. 75 77 615 05 wew. 338
e-mail: pcpr@powiat.zgorzelec.pl, pcpr.k.garbowska@powiat.zgorzelec.pl
Partner nr 26 – Powiat Złotoryjski:
Realizatorem projektu ze strony Powiatu Złotoryjskiego jest Powiatowe Centrum Pomocy Rodzinie w Złotoryi,
al. Miła 18 59-500 Złotoryja
tel. 76 878 44 47
e-mail: pcpr@pcpr-zlotoryja.pl
Partner nr 27 – Miasto Jelenia Góra:
Realizatorem projektu w Mieście Jelenia Góra jest: Urząd Miasta Jelenia Góra, Departament Edukacji, Referat Realizacji Projektów; Pl. Ratuszowy 58, 58-500 Jelenia Góra.
tel. 75 754 63 43
e-mail: ikrupska@jeleniagora.pl
Partner nr 28 – Miasto Legnica:
Realizatorem projektu w Mieście Legnica jest Urząd Miasta Legnica, Wydział Zdrowia i Spraw Społecznych,
pl. Słowiański 8, 59-200 Legnica.
tel. 76 721 22 53
e-mail: jbitel@legnica.eu, eizbinska@legnica.eu
Partner nr 29 – Gmina Wrocław:
Realizatorem projektu ze strony Gminy Wrocław jest Miejski Ośrodek Pomocy Społecznej, Dział Świadczeń,
ul. Namysłowska 8, 50-304 Wrocław.
tel. 71 78 22 424
e-mail: dzsw@mops.wroclaw.pl
Partner nr 30: Gmina Wałbrzych – Miasto na prawach powiatu
Informacje na temat projektu można uzyskać w Biurze Sportu, Turystyki i Zdrowia Urzędu Miejskiego w Wałbrzychu
Dokumenty należy składać: ul. Sienkiewicza 6-8 Wałbrzych
tel. 74 66 55 379
e-mail: s.fedyniak@um.walbrzych.pl
Kontakt
Szczegółowych informacji dotyczących realizacji Programu „Sprawny Uczeń” udzielają:
Pani Marta Szkarupska:
tel.: 76 847 96 91
e-mail: m.szkarupska@pcpr.powiat-lubin.pl
Pani Ewelina Stańczyk-Atanasow:
tel.: 76 847 96 86
e-mail: e.stanczyk-atanasow@pcpr.powiat-lubin.pl
Dane kontaktowe do partnerów znajdują się również na stronie Partnerzy Projektu
#FunduszeUE #FunduszeEuropejskie
UWAGA, WAŻNY KOMUNIKAT !!!!!
Powiatowe Centrum Pomocy Rodzinie w Lubinie przypomina, iż z dniem 26 listopada 2024 r. upływa termin przedstawienia dokumentów potwierdzających spełnianie kryteriów formalnych oraz dodatkowych (jeśli dotyczy) o których mowa w § 3 ust. 4 i ust. 5 Regulaminu przyznawania stypendiów dla uczniów z niepełnosprawnościami w ramach projektu „Dolnośląski program pomocy uczniom niepełnosprawnym „Sprawny Uczeń”, tj.:
1. Oryginał ważnego orzeczenia o niepełnosprawności lub orzeczenia o stopniu niepełnosprawności wydany przez powiatowy zespół ds. niepełnosprawności, ZUS lub instytucję odwoławczą,
LUB
oryginał orzeczenia o potrzebie kształcenia specjalnego wydanego ze względu na dany rodzaj niepełnosprawności.
2. Oryginał dokumentu potwierdzającego zamieszkiwanie wnioskującego pod adresem wskazanym we wniosku o przyznanie stypendium np. zaświadczenie o zameldowaniu na pobyt stały lub czasowy, akt notarialny, umowna najmu, umowa użyczenia lokalu, akt darowizny, oświadczenie lub inny dokument potwierdzający fakt zamieszkiwania kandydata zgodnie z niniejszym kryterium.
3. Zaświadczenie ze szkoły o pobieraniu nauki przez ucznia w szkole podstawowej lub ponadpodstawowej.
4. Kserokopia zaświadczenia lub decyzji uprawnionego organu o przyznaniu zasiłku rodzinnego oraz oryginał do wglądu (jeśli dotyczy).
5. Oryginał zaświadczenia uprawnionego organu o ustanowieniu pieczy zastępczej (jeśli dotyczy).
6. Kserokopia Karty Dużej Rodziny ucznia pochodzącego z rodziny wielodzietnej oraz oryginał do wglądu (jeśli dotyczy).
Niedostarczenie ww. dokumentów w powyższym terminie spowoduje zgodnie z § 4 ust. 10 Regulaminu przyznawania stypendiów dla uczniów z niepełnosprawnościami w ramach projektu „Dolnośląski program pomocy uczniom niepełnosprawnym „Sprawny Uczeń” skreślenie kandydata z listy rankingowej stypendystów.
Data: 19-11-2024
Lista rankingowa uczniów zakwalifikowanych do otrzymania stypendium w ramach projektu pn. „Dolnośląski program pomocy uczniom niepełnosprawnym Sprawny Uczeń”
PLIKI DO POBRANIA W FORMACIE PDF:
Lista rankingowa – Lista rankingowa – Sprawy Uczeń (.pdf)
Lista rezerwowa – Lista rezerwowa – Sprawny Uczeń (.pdf)



Powiatowe Centrum Pomocy Rodzinie w Lubinie przystąpiło do kolejnego projektu pn. „Dolnośląski program pomocy uczniom niepełnosprawnym „Sprawny Uczeń” w ramach programu Fundusze Europejskie dla Dolnego Śląska 2021-2027.
Program dedykowany jest w szczególności dla niepełnosprawnych wychowanków przebywających w systemie pieczy zastępczej, osób z niepełnosprawnością sprzężoną oraz znajdujących się w wyjątkowo trudnej sytuacji materialnej.
Zasady ubiegania się o stypendium w ramach projektu : Dolnośląski program pomocy uczniom niepełnosprawnym „Sprawny uczeń”.
Stypendium może uzyskać:
- uczeń szkoły podstawowej lub ponadpodstawowej (z wyłączeniem szkół policealnych) zamieszkujący na terenie Powiatu Lubińskiego z niepełnosprawnością, posiadający ważne:
- orzeczenie o niepełnosprawności lub
- orzeczenie o stopniu niepełnosprawności lub
- orzeczenie o potrzebie kształcenia specjalnego wydane ze względu na dany rodzaj niepełnosprawności;
- orzeczenie o potrzebie zajęć rewalidacyjno-wychowawczych, wydane ze względu na niepełnosprawność intelektualną w stopniu głębokim.
Nabór wniosków o przyznanie stypendium zostanie przeprowadzony dwukrotnie:
• I edycja październik 2024 r.
• II edycja II-III kwartał 2025 r.
Wnioski o przyznanie stypendium należy składać wyłącznie w terminie rekrutacji osobiście, pocztą lub kurierem (decyduje data wpływu):
- osobiście w siedzibie Powiatowego Centrum Pomocy Rodzinie w Lubinie, ul. Składowa 3, pok. nr 3,
- pocztą lub kurierem na adres: Powiatowe Centrum Pomocy Rodzinie w Lubinie, ul. Składowa 3, 59-300 Lubin.
Wnioski złożone poza wyznaczonym terminem rekrutacji nie będą rozpatrywane.
Wkrótce zostanie podany termin naboru wniosków (rekrutacji)!!
Szczegółowe zasady naboru, przyznawania i oceny wniosków określa Regulamin przyznawania stypendiów dla uczniów z niepełnosprawnościami, który został przyjęty uchwałą z dnia 26 września 2024 r. Sejmiku Województwa Dolnośląskiego w sprawie przyjęcia Regulaminu przyznawania stypendiów w ramach projektu „Dolnośląski program pomocy uczniom niepełnosprawnym „Sprawny uczeń” w ramach Programu Fundusze Europejskie dla Dolnego Śląska 2021-2027, Priorytet 8 Fundusze Europejskie dla edukacji na Dolnym Śląsku, Działanie 8.1 Dostęp do edukacji.




